нет
2025-04-11 09:11:36
А где то можно посмотреть список на продление? Просмотрела всё, что на сайте миграции и там в списке справка есть и юрист говорит что нужна
2025-04-11 12:08:00
а можно сюда скриншот этого списка документов на продление с сайта миграции?
2025-04-11 12:10:10
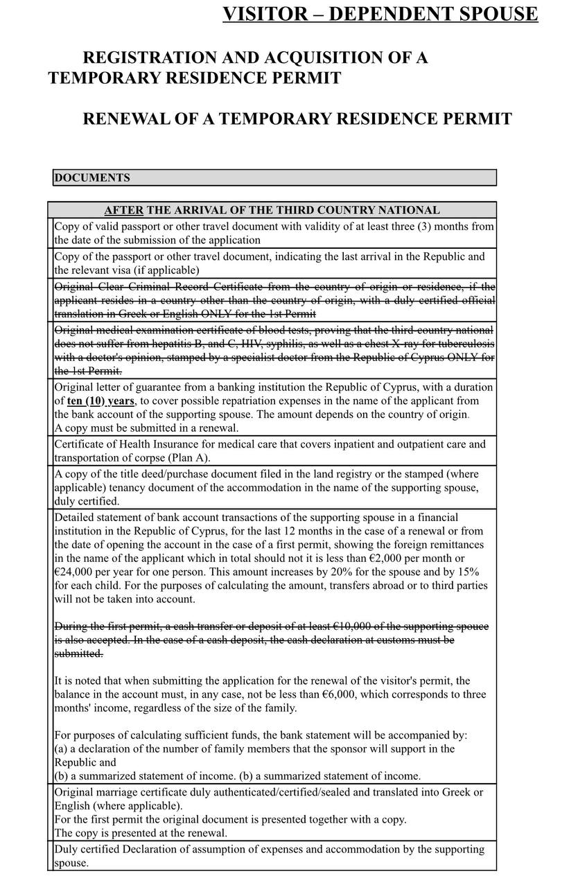
это не список на продление, а список на первую подачу после прибытия на Кипр
2025-04-11 12:14:02
Там написано renewal
2025-04-11 12:14:30
нет, это просто заголовок, список renewal идёт дальше в документе и там нет медсправки
2025-04-11 12:15:53
Не нашла, там четыре страницы и список только этот
2025-04-11 12:16:27
действительно так
похоже мигрейшен ошибся и загрузил неполный документ
2025-04-11 12:17:58
А где посмотреть полный? В законе?
2025-04-11 12:20:48
@Olga_Isser А можно попросить мигрейшен исправить файлы со списками документов для visitors (списки не полные)?
2025-04-11 12:29:32
они там все ошибочные
2 VISITOR.docx
3 Dep Spouse.docx
5_Dep_Minor_20112024.docx
2 VISITOR.docx
3 Dep Spouse.docx
5_Dep_Minor_20112024.docx
2025-04-11 12:19:39
продление - это Renewal
2025-04-11 12:14:27
Это старая версия
2025-04-11 12:48:58
Ну вот я пытаюсь найти новую на сайте хоть на каком то языке, а то моя юристка уперлась и все, говорит не пойдет со мной, а у нее все документы с работы моей.
2025-04-11 12:50:20
Если сейчас зайдете на сайт - там уже новые версии. Как на греческом, так и на англ.
Явно указывается, что мед.экзамены ONLY for the 1st Permit.
Явно указывается, что мед.экзамены ONLY for the 1st Permit.
2025-04-11 12:51:51
Я там же смотрю, мне нужен список visitor minor dependent. Ко мне у нее нет претензий
2025-04-11 12:52:56
оффтоп, но юрист у вас не очень
2025-04-11 13:53:45
Знаю... К сожалению моя компания работает только с ней и много лет 🤷♀️
2025-04-11 12:54:13
В таком случае, если уперлась и никак не сдвинуть с места, то придется проходить..либо сами подавайтесь, отдельно, если это для вас принципиально
2025-04-11 12:58:42
Мы его прошли в частной клинике, теперь надо заверить. Раньше в фамагусте пришёл и тебе за 15 минут заверили. Теперь у них очередь.. И я не успею до appointment. Не знаете как в Ларнаке с очередью дело?
2025-04-11 12:58:49
Не подскажу(
Как вариант, можете сами продлить без ее участия.
Правда, не совсем понял, как эта категория связана с работодателем на Кипре
2025-04-11 13:00:48
У меня рабочий пермит GEN который, а ребенка как minor visitor dependent подают
2025-04-11 13:02:14
Так если все доки готовы, просто поговорите с начальством, что тупо не успеваете сделать анализы и есть риск разрыва.
Какая им разница, сами вы будете подавать или с юристом компании?
2025-04-11 13:03:31
По этой категории не знаю, пусть знатоки подскажут.
Возможно, что и бюрократия побеждает, и, действительно, требуют каждый год. Хотя и не логично.
С другой стороны, бюрократия часто нелогична.
2025-04-11 13:10:09
Не требуют. Пожалуйста, остановитесь.
2025-04-11 13:19:33
Либо попробуйте объяснить ситуацию и успеть заверить в больнице.
2025-04-11 13:08:18
Доброй ночи.
Если вопрос ещё не решили, то в Ларнаке за итоговой справкой попробуйте вот сюда обратиться
https://maps.app.goo.gl/Fn8UWJ1VRbQSXZWk6
Я здесь делала свои анализы (тут рентген, этажом выше лаборатория) и справку мне итоговую там же и выдали. Детям анализы делали в Лимассоле, а сюда только за итоговой справкой заезжала, всё сделали на основании анализов одним днём.
Но было это пару лет назад уже, так что актуальность стоит уточнять.
Ну и в Дженерал Ларнаки позвонить можно, узнать про сроки ожидания.
Если вопрос ещё не решили, то в Ларнаке за итоговой справкой попробуйте вот сюда обратиться
https://maps.app.goo.gl/Fn8UWJ1VRbQSXZWk6
Я здесь делала свои анализы (тут рентген, этажом выше лаборатория) и справку мне итоговую там же и выдали. Детям анализы делали в Лимассоле, а сюда только за итоговой справкой заезжала, всё сделали на основании анализов одним днём.
Но было это пару лет назад уже, так что актуальность стоит уточнять.
Ну и в Дженерал Ларнаки позвонить можно, узнать про сроки ожидания.
2025-04-12 20:03:10
Да, по видимому, забыли обновить.
В любом случае, там же указано, что мед.анализы требуются на всех членов семьи.
А так как, по родителям не требуется повторно, то по какой логике будет требоваться по ребенку?
То есть, очевидно, что просто забыли обновить список.
2025-04-11 12:56:25
Заберите документы и поменяйте юриста
2025-04-11 13:00:24
здесь должен был быть медиа файл, но наш сервер не резиновый: MessageMediaUnsupported
2025-04-11 13:17:38
Не нужно 100%. Я тоже видела этот пункт в списке, но документы на продление принимают и без мед справки.
А вот для первой подачи эта справка нужна.
2025-04-11 12:14:04
Спасибо, очень надеюсь что примут, в госпитале фамагусты очередь на эту справку до конца апреля расписана.
2025-04-11 12:14:27
Нет. В закрепе этого чата есть информация про это
2025-04-11 12:23:57
Я весь закреп изучила и со всех ссылок скачала документы. Ткните мне пожалуйста где смотреть?
2025-04-11 12:25:45
Супер, сейчас посмотрю ее. Она там же на сайте миграции?
2025-04-11 12:45:12
и на английском тоже -
"Original medical examination certificate of blood tests, proving that the third-country national does not suffer from hepatitis B, and C, HIV, syphilis, as well as a chest X-ray for tuberculosis with a doctor's opinion, stamped by a specialist doctor from the Republic of Cyprus ONLY for the 1st Permit."
"Original medical examination certificate of blood tests, proving that the third-country national does not suffer from hepatitis B, and C, HIV, syphilis, as well as a chest X-ray for tuberculosis with a doctor's opinion, stamped by a specialist doctor from the Republic of Cyprus ONLY for the 1st Permit."
2025-04-11 12:48:00
сообщение удалено
2025-04-11 12:45:56










